从公式看懂均线:SMA、EMA、WMA均线公式怎么算?哪种最准?
时间:2025-12-02
-
Binance币安
-
-
币安OKX ️
-
-
Huobi火币️
-
移动平均线(MA)是什么?背后公式的基本概念
移动平均线Moving Average 缩写为MA,是在股票、外汇、加密货币市场中最常出现的指标之一,利用平均的计算方式让曲线更平滑以观察市场中的主要趋势方向。
均线的目的在于,当市场价格波动较大时,单一日期的收盘价往往容易与其他日期间相差甚大,此时移动平均线即可取到关键作用:
- 平滑价格波动:将一定期间内的价格取平均,使整体走势更平顺并减少单一极端值的影响。
- 判断趋势方向:当目前价格处于均线上方时则代表处在多头趋势中,反之若在均线下方则目前处于空头趋势。
移动平均线的种类
移动平均线依权重差异分为三种,将会在后续段落中详细介绍三种均线的公式与差异。
- 简单移动平均线SMA:所有数据权重相同,不进行调整。
- 指数移动平均线EMA:近期价格数据权重较高,反应较快。
- 加权移动平均线WMA:按时间进行加权处理,兼顾平滑与灵敏度。
SMA(简单移动平均线)公式与计算范例
Simple Moving Average 简称SMA,是最基础、最容易理解的均线,它仅对指定周期内的收盘价除以周期天数求得平均,并未进行任何加权处理。

其中:
- P1,P2 至Pn 为每一天的收盘价
- n 为周期天数,如5、10、20 天
SMA 实盘案例计算
观察标普500 在2024 年12 月19 日至12 月26 日中的五个交易日中可以看到以下数据,接着再将数据依公式计算即可求得SMA 5 的数值。
| 日期 | 收盘价 |
| 12/19 | 5867.07 |
| 12/20 | 5930.84 |
| 12/23 | 5974.08 |
| 12/24 | 6040.05 |
| 12/26 | 6037.58 |
而将以上收盘价加总并除以时间周期5 即可求得SMA 5=5969.92,与图上SMA 均线指标呈现数字相同。

EMA(指数移动平均线)公式与权重解释
Exponential Moving Average 简称EMA,是在SMA 的基础上进一步改良的版本,主要目的是让近期价格更容易影响均线的曲线,进而提升均线针对行情变化的反应速度,白话文来说,在EMA 中新的价格会比旧的价格更有影响力,计算的权重也会较高。

其中:
- Pt 为当前的收盘价
- EMAt-1 为前一天的EMA 值
- K 为平滑系数,计算公式:K=2/n+1,n 同样为时间周期
EMA 实盘案例计算
同样以标普500 在2024 年12 月26 日的交易日作为范例并计算当天的EMA 数值,目前已知当日收盘价为6037.58、前一日EMA 为5983.51,n 为5。
套入公式:6037.58*(2/6)+5983.51*(1-2/6)=6001.53

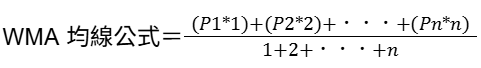
WMA(加权移动平均线)公式与特色
Weighted Moving Average 简称WMA,是介于SMA 与EMA 之间的均线计算方式。 WMA 同样会取一个时间周期内的收盘价进行加权,但不同于SMA、EMA 的地方在于WMA 透过线性权重的方式兼顾即时、稳定性。

其中的P 及n 与SMA 相同皆为收盘价及时间周期,而分子则是为了使权重依时间递增,最新一期权重最大。
WMA 实盘案例计算
采用与SMA 中同样的标普500 时间段进行计算求得12 月26 日的WMA 5 数值,交易日收盘数据如下。
| 日期 | 收盘价 | 权重 |
| 12/19 | 5867.07 | 1 |
| 12/20 | 5930.84 | 2 |
| 12/23 | 5974.08 | 3 |
| 12/24 | 6040.05 | 4 |
| 12/26 | 6037.58 | 5 |
依据公式并套用数字后的方程式为:(5867.07*1+5930.84*2+...+6037.58*5)/(1+2+...+5)=5999.94,与图中WMA 5 均线数值相同。

SMA、EMA、WMA 三种均线差异比较
虽然SMA、EMA、WMA 都属于均线的一种,但它们每个资料间的占比权重却不尽相同,因此在使用上仍有各自的优缺点及适用场景。
| SMA | EMA | WMA | |
| 权重分配 | 均等权重 | 指数递减 | 线性递减 |
| 反应速度 | 最慢 | 最快 | 适中 |
| 优点 | 平滑效果好适合观察中长线趋势 | 反应灵敏最快捕捉趋势反转 | 能有效兼顾灵敏性及过滤杂讯 |
| 缺点 | 延迟较久不易观察短期趋势变化 | 针对短期讯号过于灵敏易出现假讯号误导 | 仍易受短期波动干扰 |
| 适用场景 | 中长线交易(如SMA 20、60) | 短线交易、波段趋势转折 | 短至中期交易 |
该使用哪一种均线指标?
在断定哪种均线指标适合你之前,不仿优先考量自己属于何种交易者,是偏好长期持有现货资产的持有者,还是中短线合约的投资者,又或是操作小时区的交易者?
长线持有者
对于不频繁换仓的持有者而言,可以使用SMA 50/100/200 均线指标进行辅助判断,原因在于SMA 能有效过滤短期杂讯,进而达到真正反应长期趋势的效果。
投资者可以利用目前价位处于SMA 的上/下方判断目前处于多头/空头占优的市场并进行合理的加减仓操作。
波段/中短线交易者
针对偶尔但不频繁的交易者而言,可以利用较长的EMA、WMA 进行辅助判断,EMA 较灵敏的特性能有效提升讯号出现的频率,而WMA 在比SMA 灵敏的同时仍保留较稳定的特性。
交易者可以透过同时开启EMA、WMA 两种均线指标组合成交易策略,并利用较为灵敏的EMA 作为进场依据,而较稳定的WMA 则视为趋势判断的工具。
日内/小时区交易者
而偏好短线交易的用户则可以利用EMA 快速反应市场变化的特性进行交易,不过在小级别中的短线EMA 特别容易出现假讯号误导交易者,因此仍建议搭配MWA 甚至SMA 进行辅助判断,亦或是利用MACD、RSI 等指标进行多重过滤。
常见问题
多种MA 可以同时使用吗?
可以,且同时开启多条均线是常见的策略,透过SMA、EMA、WMA 的交叉使用能有效弥补各次存在的缺点。
为什么不同平台的EMA 结果不一样?
常见原因在于初始值资料不同,例如各平台间的收盘价可能略有差异,经由均线公式计算后则可能导致最终计算结果略有差异。
SMA、EMA、WMA 哪一种最准确?
若单论讯号准确度的话,最延迟的SMA 讯号将最准确,但这并不代表SMA 优于EMA 及WMA,仍需要看个人的交易习惯而定。
为什么MA 常常显示延迟讯号?
均线的本质在于将历史价格平均化,因此必定落后于现价,其中又以SMA 延迟最为严重,若想将延迟讯号降至最低则可以考虑开启EMA 指标进行辅助观察。
小结
均线MA 作为最普遍的技术指标之一,其重点在于化繁为简,透过将杂乱的讯号转换为一条清晰地曲线能有效帮助投资者判断目前市场趋势。而SMA、EMA、WMA 透过三种不同的权重处理方式区分各自的优缺点,方便投资者依据自身需求进行搭配使用。
以上就是从公式看懂均线:SMA、EMA、WMA均线公式怎么算?哪种最准?的详细内容
相关阅读
更多
- 阿根廷石油公司YPF接受比特币支付 12-03
- 近期有哪些空投?币圈如何撸空投? 12-03
- 什么是加密货币钱包?加密货币钱包有什么用? 12-03
- 比特币还能涨吗?比特币2026年价格预测 12-03
- 比特币最近为什么一直跌?比特币近十年走势图 12-03
- 比特币或跌至6万美元 12-03
- 高盛20亿美元收购ETF公司布局加密市场 12-03
- Hyperscale Data比特币储备达7225万美元 12-03
- 玻利维亚延长加密监管申请期限至2026年 12-03
- 花旗集团盘前涨近9% 12-03
- AMINA银行接入USDG稳定币 12-03
- Grayscale推出零费率Chainlink ETF 12-03
- 比特币逼近9.7万将引爆百亿美元强平 12-03
- 灰度Chainlink信托ETF上线NYSE Arca 12-03
猜你喜欢
-
- OPPO ColorOS 12系统正式版安装包
- 类型:[db:筛选栏目]
- OPPO ColorOS 12安装包下载 OPPO ColorOS 12系统正式版安装包
-
- OPPOColorOS13正式版安装包
- 类型:[db:筛选栏目]
- ColorOS13正式版下载 OPPOColorOS13正式版安装包
-
- 押韵助手(押韵生成器)
- 类型:[db:筛选栏目]
- 押韵助手(押韵生成器) 押韵助手(押韵生成器)下载 押韵助手(押韵生成器)安卓版下载
-
- 软件崽车库免费2.1最新版app
- 类型:[db:筛选栏目]
- 软件崽车库2.1下载 软件崽车库免费2.1最新版app
-
- 佛经大全金刚经心经app
- 类型:[db:筛选栏目]
- 佛经大全金刚经心经app下载 佛经大全金刚经心经 佛经app
-
- 5+7奖虫旧版
- 类型:[db:筛选栏目]
- 5+7奖虫旧版 5+7奖虫旧版下载 5+7奖虫旧版安卓版下载
热门资讯
- 1 区块链手机app排行榜前十名推荐(2025更新)
- 2 国内最佳数字货币交易app免费下载入口汇总
- 3 比特币可以用来做什么?有何实际用途?
- 4 狗狗币历史价格最全汇总 狗狗币(DOGE)诞生至今价格走势一览
- 5 比特币历史价格走势图 2011-2035年比特币k线图十年走势一览
- 6 狗狗币最低的时候多少钱?17年买1万狗狗币现在有多少?
- 7 2025年最有潜力成为千倍币万倍币有哪些?哪些币种在2025年最有可能实现千倍甚至万倍的涨幅?
- 8 币安下载安装ios详细教程 币安Binance苹果下载教程
- 9 上海黄金交易所官网:中国黄金交易平台
- 10 2035-2030年CFX币价格走势预测:2035年CFX币价格会上涨吗?
应用推荐
换一换
下载排行
更多




















